Home
/ Algebra De Baldor Pdf Ejercicios : Algebra De Baldor Pdf Mercado Libre _ Libro de algebra de baldor y solucionario pdf.
Algebra De Baldor Pdf Ejercicios : Algebra De Baldor Pdf Mercado Libre _ Libro de algebra de baldor y solucionario pdf.
Algebra De Baldor Pdf Ejercicios : Algebra De Baldor Pdf Mercado Libre _ Libro de algebra de baldor y solucionario pdf.. Espere 5 segundos y pulse saltar publicidad tal y como se muestra en la siguiente imagen. (19 puntos en cada ejercicio en promedio). Por favor descargue la versión complete para leer todo el libro. ¡entonces ya puedes descargarlo desde aquí! Número y forma son los pilares sobre los cuales se ha construido el enorme edificio de la matemática.
Baldor es una de la algebras más utilizadas por los estudiantes de colegio (secundaria), la explicación de los casos y la dificultad de los ejercicios lo convierten en uno. Documento pdf con los ejercicios resueltos del álgebra de baldor, solucionario útil para tus deberes o simplemente para estudiar. Baldor, el libro algebra de baldor es uno de esos libros conocidos universalmente por millones de personas de diversas generaciones, cuya sola imagen de la portada trae a la mente las innumerables horas de ejercicios, estudios y practicas de matemáticas que este libro representa. Por favor descargue la versión complete para leer todo el libro. Ejercicios resueltos de algebra de baldor 2descripción completa.
Descarga El Libro De Baldor Matedraticos from static.wixstatic.com Libro algebra de mancil by opinion ciudadana 1077008 views. Matematicas algebra intermedia septima edicion pearson $ 107.000 $ 26.750 25% $ 8. Descarga álgebra de baldor, este libro en formato pdf en conjunto con su solucionario de forma gratuita por los servidores de mega. Consultado en la siguiente dirección electrónica htt. El libro algebra baldor pdf de aurelio baldor que dejamos a continuación para descargar ha representado una excelente fuente de conocimiento a numerosos estudiantes de las ramas de calculo y matemática básica. Enter the password to open this pdf file. Pdf doc docx rtf pps ppt. Quien quiere tener el libro de algebra baldor y el solucionario totalmente gratis.
Quien quiere tener el libro de algebra baldor y el solucionario totalmente gratis.
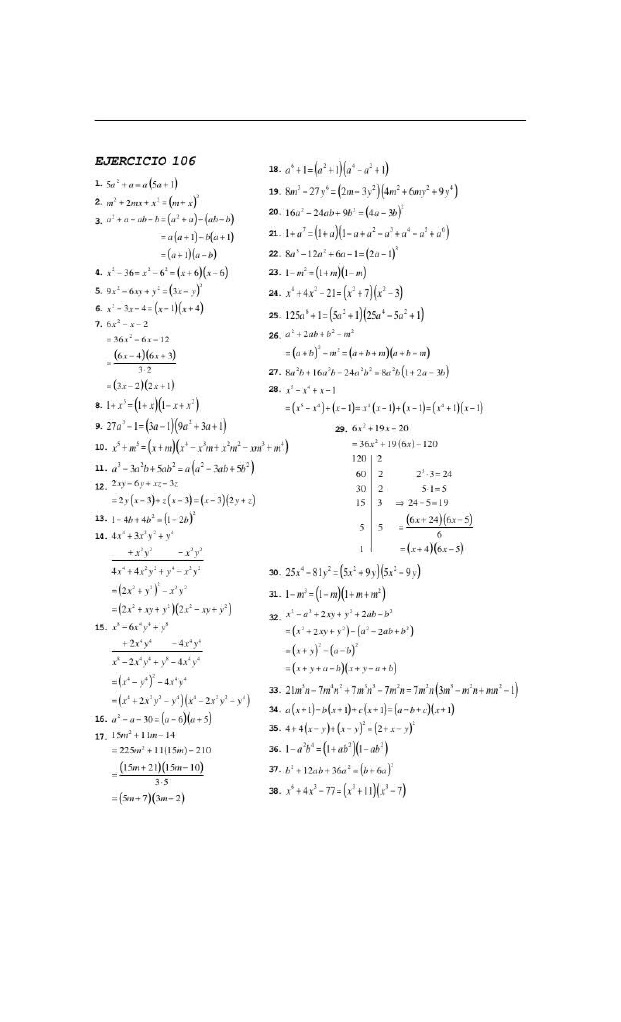
Se efectúan las operaciones indicadas. En algebra se verifican con las cantidades las mismas operaciones que en aritmética: Factor conjunto agrupando los términos p r o c e d i. Descarga álgebra de baldor, este libro en formato pdf en conjunto con su solucionario de forma gratuita por los servidores de mega. Baldor, el libro algebra de baldor es uno de esos libros conocidos universalmente por millones de personas de diversas generaciones, cuya sola imagen de la portada trae a la mente las innumerables horas de ejercicios, estudios y practicas de matemáticas que este libro representa. Algebra de baldor (libro) follow: Consultado en la siguiente dirección electrónica htt. Necesito la algebra de valdor para encontrar ejercicios de polinomios en m.c.d. Ejercicio 56 y 57 libro de baldor (. Respuestas algebra de baldor by antonio galvis 1236571 views. Álgebra es un libro del matemático y profesor cubano aurelio baldor. Ejercicios resueltos del algebra de baldor. Esta magnifica obra llamada algebra de baldor, es aun más relevante que la obra mítica de cervantes el quijote, es el libro más leido y consultado en los colegios y escuelas desde la norteña ciudad de tijuana hasta la patagonia austral.
Libro de algebra de baldor y solucionario pdf. Factor conjunto agrupando los términos p r o c e d i. Baldor, el libro algebra de baldor es uno de esos libros conocidos universalmente por millones de personas de diversas generaciones, cuya sola imagen de la portada trae a la mente las innumerables horas de ejercicios, estudios y practicas de matemáticas que este libro representa. Quien quiere tener el libro de algebra baldor y el solucionario totalmente gratis. 13 valor numérico valor numérico de expresiones compuestas procedimiento 1.
49 from www.algebra.jcbmat.com 13 valor numérico valor numérico de expresiones compuestas procedimiento 1. Número y forma son los pilares sobre los cuales se ha construido el enorme edificio de la matemática. El libro algebra baldor pdf de aurelio baldor que dejamos a continuación para descargar ha representado una excelente fuente de conocimiento a un texto cuya sola imagen en la portada nos trae recuerdos de la posibilidad de contar con casi ilimitados ejercicios, de un gran numero de temas. Se reemplaza cada letra por su valor numérico 2. Necesito la algebra de valdor para encontrar ejercicios de polinomios en m.c.d. Por favor descargue la versión complete para leer todo el libro. Davince toolsthis pdf file was created by an unregistered copy of the shareware program davince tools. Camp dates our camps run throughout the.
¡entonces ya puedes descargarlo desde aquí!
This public document was automatically mirrored from pdfy.original filename: Aproximadamente 983 libros gratis sobre algebra de baldor en pdf. Quien quiere tener el libro de algebra baldor y el solucionario totalmente gratis. El libro algebra baldor pdf de aurelio baldor que dejamos a continuación para descargar ha representado una excelente fuente de conocimiento a un texto cuya sola imagen en la portada nos trae recuerdos de la posibilidad de contar con casi ilimitados ejercicios, de un gran numero de temas. Pdf algebra de baldor, algebra de baldor pdf, aritmetica de baldor.pdf, aritmetica de baldor pdf uptodown, el poder medicinales baldor pdf. Algebra de baldor (libro) follow: Número y forma son los pilares sobre los cuales se ha construido el enorme edificio de la matemática. En algebra se verifican con las cantidades las mismas operaciones que en aritmética: Ejercicios resueltos de algebra de baldor 2descripción completa. Pdf doc docx rtf pps ppt. Libro algebra de mancil by opinion ciudadana 1077008 views. Una deuda se expresa en sentido ejercicio 3negativo. El enlace se abrirá en la web externa de adf.ly.
Necesito la algebra de valdor para encontrar ejercicios de polinomios en m.c.d. Sombrío para algunos, enigmático para otros y. Que esperas para tener esta colección de joyadescripción completa. Ejercicios resueltos de algebra de baldor 2descripción completa. Summa ejercicio 91 del algebra de baldor resuelto con procedimiento.
80 from www.algebra.jcbmat.com Álgebra es un libro del matemático y profesor cubano aurelio baldor. Quien quiere tener el libro de algebra baldor y el solucionario totalmente gratis. Calcular ecuaciones, desigualdades, ecuación de la recta y sistema de. Descarga álgebra de baldor, este libro en formato pdf en conjunto con su solucionario de forma gratuita por los servidores de mega. Con mas de 6 mil ecuaciones en su haber, el álgebra de baldor es el libro de matemáticas mas expandido a nivel mundial desde hace mas de 7 décadas, es. Download ejercicios resueltos de algebra de baldor. Ejercicios resueltos de algebra de baldor 2descripción completa. Documento pdf con los ejercicios resueltos del álgebra de baldor, solucionario útil para tus deberes o simplemente para estudiar.
Pdf drive investigated dozens of problems and listed the biggest global issues facing the world today.
Solucionario de matematicas de g. El libro algebra baldor pdf de aurelio baldor que dejamos a continuación para descargar ha representado una excelente fuente de conocimiento a un texto cuya sola imagen en la portada nos trae recuerdos de la posibilidad de contar con casi ilimitados ejercicios, de un gran numero de temas. By jean pierre 405063 views. ¡entonces ya puedes descargarlo desde aquí! Que esperas para tener esta colección de joyadescripción completa. Esta magnifica obra llamada algebra de baldor, es aun más relevante que la obra mítica de cervantes el quijote, es el libro más leido y consultado en los colegios y escuelas desde la norteña ciudad de tijuana hasta la patagonia austral. Compartimos con ustedes el libro algebra baldor de aurelio baldor en formato pdf para descargar. Libro algebra de mancil by opinion ciudadana 1077008 views. El enlace se abrirá en la web externa de adf.ly. Download ejercicios resueltos de algebra de baldor. Matematicas algebra intermedia septima edicion pearson $ 107.000 $ 26.750 25% $ 8. Por favor descargue la versión complete para leer todo el libro. Summa ejercicio 91 del algebra de baldor resuelto con procedimiento.
Baldor es una de la algebras más utilizadas por los estudiantes de colegio (secundaria), la explicación de los casos y la dificultad de los ejercicios lo convierten en uno algebra baldor.pdf. Sombrío para algunos, enigmático para otros y.